Đánh giá 4 mô hình quản lý hàng tồn kho phổ biến hiện nay: EOQ, POQ, QDM, ABC

Trong quy trình quản lý hàng tồn kho, có nhiều mô hình và phương pháp khác nhau được doanh nghiệp triển khai tùy vào đặc thù từng đơn vị. Trong đó, nổi bật có 4 mô hình quản lý hàng tồn kho phổ biến là EOQ, POQ, PDM, ABC. Trong bài viết dưới đây, ITG Technology sẽ chia sẻ những đáng giá về các mô hình quản lý hàng tồn kho hiệu quả cho doanh nghiệp.

Mô hình quản lý hàng tồn kho EOQ
Mô hình quản lý hàng tồn kho EOQ là gì?
EOQ là từ viết tắt của Economic Order Quantity, là một mô hình định lượng được sử dụng để xác định mức tồn kho tối ưu mang lại lợi nhuận cao nhất nhưng vẫn đáp ứng nhu cầu bán hàng của công ty. Đây là mô hình quản lý tồn kho dựa trên 2 loại chi phí là dùng để mua hàng và để dự trữ hàng tồn kho.
Khi chi phí nguyên vật liệu / hàng hóa tăng thì giá vốn hàng hóa giảm, điều này sẽ đẩy các chi phí lưu trữ tăng theo. Từ đó chúng ta có thể kết luận rằng hai loại chi phí nêu trên có tương quan nghịch với nhau. Và mục đích của mô hình quản lý hàng tồn kho EOQ là thực hiện các tính toán sao cho tổng chi phí này càng thấp càng tốt.
Công thức tính của mô hình EOQ

Trong đó:
- D là số lượng hàng tồn kho cần thiết cho mỗi năm
- S là chi phí phải trả cho mỗi lần đặt hàng , bao gồm chi phí vận chuyển, gọi điện, kiểm tra, giao hàng…
- H là chi phí lưu kho hàng hóa, bao gồm tiền thuê kho bãi, máy móc thiết bị, điện, nước, lương nhân viên…
Ưu điểm của mô hình EOQ
EOQ là mô hình quản lý hàng tồn kho đơn giản và dễ áp dụng rộng rãi trong mọi phân xưởng. Ngoài ra, nhờ có mô hình này, doanh nghiệp có thể kiểm soát chặt chẽ các loại chi phí như đặt hàng hay hàng hóa lưu kho. Từ đó nâng cao hiệu quả quản lý hàng tồn kho trong doanh nghiệp
Hạn chế của mô hình EOQ
- Giả định đầu vào là không thực tế: Các yếu tố đầu vào cho mô hình quản lý hàng tồn kho EOQ yêu cầu giả định rằng nhu cầu của người tiêu dùng là không đổi trong ít nhất một năm. Việc này là rất khó vì quy luật cung – cầu trên thị trường luôn biến động, đặc biệt trong tình hịch dịch bệnh căng thẳng như hiện nay;
- Gây khó khăn trong tính toán: việc giả định các chi phí mua hàng và chi phí lưu trữ hàng hóa không đổi khiến việc tính toán tồn kho trong môi trường kinh doanh luôn biến động sẽ trở nên khó khăn.
Năm 1961 tiến sĩ Forrester làm một thống kê cho biết lượng sản phẩm được sản xuất bởi các doanh nghiệp luôn cao gấp nhiều lần nhu cầu thực tế của thị trường. Mức sai lệch cực đại có thể dao động lên tới 3-5 lần. Và ông gọi hiện tượng chênh lệch đáng kể giữa số lượng sản phẩm sản xuất ra so với nhu cầu thực tế là Bullwhip Effect. Vậy làm thế nào để kiểm soát Bullwhip Effect? Mời bạn đọc đón đọc bài viết: Quản lý hàng tồn kho – Cách kiểm soát Bullwhip Effect
Mô hình quản lý hàng tồn kho theo sản lượng đặt hàng POQ
Mô hình quản lý hàng tồn kho POQ là gì?
Mô hình sản lượng đặt hàng theo sản xuất POQ trong tiếng Anh được gọi là Production Order Quantity Model. Đây là mô hình dự trữ được ứng dụng khi lượng hàng được đưa đến liên tục hoặc khi sản phẩm vừa được tiến hành sản xuất vừa tiến hành sử dụng hoặc bán ra.
Mô hình POQ được áp dụng trong trường hợp lượng hàng được đưa đến một cách liên tục, hàng được tích lũy dần cho đến khi lượng đặt hàng được tập kết hết.
Công thức tính của mô hình POQ

Trong đó:
- p là mức sản xuất (mức cung ứng) hàng ngày
- d là nhu cầu sử dụng hàng ngày (d < p)
- t là thời gian sản xuất để có đủ số lượng cho 1 đơn hàng (hoặc thời gian cung ứng)
- Q là sản lượng của đơn hàng
- H là chi phí dự trữ cho 1 đơn vị mỗi năm
Đánh giá mô hình POQ
Đây là mô hình quản lý tồn kho tương tự mô hình EOQ, do đó sẽ có những ưu điểm giống nhau. Tuy nhiên, trong POQ, hàng được đưa đến nhiều lần và nhu cầu sử dụng hàng ngày phải nhỏ hơn mức cung ứng để tránh hiện tượng thiếu hụt. Do đó, nhược điểm của phương pháp quản lý hàng tồn kho này là phức tạp và phải lập kế hoạch liên tục.
Đọc thêm: Dự phòng giảm giá hàng tồn kho – Quy định mới nhất hiện nay
Mô hình quản lý hàng tồn khấu trừ theo số lượng QDM
Mô hình quản lý hàng trong kho QDM là gì?
Mô hình khấu trừ theo số lượng QDM (Quantity discount model) là mô hình dự trữ có tính đến sự thay đổi của giá cả phụ thuộc vào khối lượng hàng trong mỗi lần đặt hàng. Việc khấu trừ theo số lượng thực chất là giảm giá hàng hóa khi khách hàng mua loại hàng nào đó với một số lượng lớn.

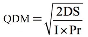
Công thức tính QDM
Bước 1: Xác định mức sản lượng tối ưu ở từng mức khấu trừ

Trong đó:
- D = Nhu cầu tính theo đơn vị (hàng năm)
- S = Chi phí đặt hàng
- Pr là giá mua hàng hoá
- I là tỉ lệ % chi phí dự trữ tính theo giá mua hàng hoá
Bước 2: Điều chỉnh sản lượng những đơn hàng không đủ điều kiện lên mức sản lượng phù hợp.
Nếu lượng hàng thấp không đủ điều kiện để hưởng mức giá khấu trừ, cần điều chỉnh lượng hàng lên đến mức tối thiểu. Còn nếu lượng hàng cao hơn thì điều chỉnh xuống bằng mức tối đa.
Bước 3: Tính tổng chi phí theo mức sản lượng đã điều chỉnh
Bước 4: Chọn Q* có tổng mức phí hàng dự trữ thấp nhất
Đánh giá mô hình QDM
Mô hình khấu trừ theo sản lượng QDM bị áp chế trong áp dụng khi chỉ phù hợp cho bên mua (hoặc nhận hàng một lần hoặc nhận hàng nhiều lần) trong điều kiện giá mua hàng hóa thay đổi theo lượng mua mỗi lần.
Tham khảo ngay: TOP 15 phần mềm quản lý kho WMS hiệu quả nhất 2025
Mô hình quản trị hàng tồn kho ABC
Mô hình quản lý hàng tồn kho ABC là gì?
Mô hình quản lý hàng tồn kho ABC thường được sử dụng nhằm xác định mức độ quan trọng của hàng hóa tồn kho khác nhau. Từ đó xây dựng các phương pháp dự báo, chuẩn bị nguồn lực và kiểm soát tồn kho cho từng nhóm hàng khác nhau.
Phương pháp này được xây dựng trên cơ sở nguyên tắc Pareto – 20% hàng hóa đem lại 80% doanh số. Hàng hóa được khuyến cáo chia thành 3 thể loại:
- Nhóm A: Bao gồm những loại hàng dự trữ có giá tri hàng năm cao nhất, với giá trị từ 70 – 80% so với tổng giá tri hàng dự trữ, nhưng về mặt số lượng chúng chỉ chiếm 15% tổng số hàng dự trữ.
- Nhóm B: Bao gồm những loại hàng dự trữ có giá tri hàng năm ở mức trung bình, với giá trị từ 15% – 25% so với tổng giá tri hàng dự trữ, nhưng về sản lượng chúng chiếm khoảng 30% tổng số hàng dự trữ.
- Nhóm C: Gồm những loại hàng có giá trị hàng năm nhỏ, khoảng 5% tổng giá tri các loại hàng dự trữ, tuy nhiên số lượng chúng chiếm khoảng 55~ so với tổng số loại hàng dự trữ.
Ưu điểm của mô hình quản lý tồn kho ABC
Phương pháp phân tích ABC trong quản lý kho là một bộ khung đơn giản để tìm ra những mặt hàng nào trong kho là quan trọng nhất. Việc này sẽ dành phần lớn thời gian trong việc kiểm soát và quản lý tồn kho. Phân loại hàng tồn kho theo phương pháp ABC được sử dụng chủ yếu cho các nhiệm vụ chính:
- Xác định mức tồn kho an toàn để duy trì, để tránh tình trạng thiếu tồn kho đối với những mặt hàng quan trọng.
- Xác định các mức phù hợp trong việc quản lý hàng tồn kho, trong đó các mục ưu tiên có thể được kiểm tra thường xuyên hơn hoặc được đếm tự động để bổ trợ cho việc kiểm tra thủ công.
Nhược điểm của mô hình quản lý tồn kho ABC
Việc phân tích ABC theo cách truyền thống có thể thiếu linh hoạt. Trong một thị trường nơi các xu hướng được cập nhật liên tục và doanh số sản phẩm có thể thất thường, các mặt hàng có thể chuyển từ loại C sang A rất nhanh. Nếu không có phân tích liên tục, cách quản lý hàng tồn kho theo phương pháp ABC có thể nhanh chóng trở nên lỗi thời.
Việc liên tục đánh giá lại và phân loại lại giữa ba nhóm trong phương pháp ABC có thể tốn rất nhiều thời gian. Điều này cuối cùng sẽ dẫn đến những ảnh hưởng tới lợi ích chung của công ty.
Đánh giá mô hình ABC
- Các nguồn vốn dùng để mua hàng nhóm A cần phải nhiều hơn so với nhóm C, do đó cần sự ưu tiên đầu tư thích đáng vào quản trị nhóm A.
- Các loại hàng nhóm A cần có sự ưu tiên trong bố trí, kiểm tra, kiểm soát thường xuyên nhằm đảm bảo khả năng an toàn trong sản xuất.
- Trong dự báo nhu cầu dự trữ, chúng ta cần áp dụng các phương pháp dự báo khác nhau cho nhóm mặt hàng khác nhau, nhóm A cần được dự báo cẩn thận hơn so với các nhóm khác.
Đừng bỏ qua: Download mẫu báo cáo tồn kho mới nhất – Cách tạo báo cáo tồn kho nhanh, chính xác
Vai trò của quản trị hàng tồn kho
Đảm bảo đủ lượng hàng hóa để cung cấp ra thị trường, tránh gián đoạn
Việc có kế hoạch mua hàng cụ thể và hợp lý vô cùng quan trọng. Nhất là đối với những ngành liên quan đến dịch vụ ăn uống, thời trang, hàng tiêu dùng thiết yếu… Quản lý chính xác lượng hàng tồn kho sẽ giúp tránh nguy cơ “cháy hàng’ khi khách hàng không thể tìm thấy sản phẩm họ muốn khi đến với bạn. Khi đó, khách hàng sẽ tin tưởng và trung thành với các sản phẩm của doanh nghiệp.
Loại bỏ hàng hóa kém chất lượng do hết hạn sử dụng
Việc quản trị tồn kho thường xuyên giúp bạn nắm rõ tình hình kho hàng của công ty từng giờ, từng ngày, giúp kiểm soát, điều chỉnh để hạn chế số lượng sản phẩm bị hỏng hóc, hao mòn, quá hạn sử dụng cần tiêu hủy. Từ đó, doanh nghiệp có thể tiết kiệm tốt hơn những khoản chi phí về nguyên, vật liệu. Để làm được điều này, bạn cần quy trình thống kê hàng tồn kho chặt chẽ và dự trù, kiểm soát ngân sách sát sao để tránh những lãng phí không đáng có.
Tiết kiệm thời gian
Quản lý tồn kho hiệu quả sẽ giúp doanh nghiệp biết sự thay đổi hàng hóa trong kho giúp tiết kiệm thời gian thay vì phải kiểm tra và đếm từng mặt hàng.
Giảm chi phí cho doanh nghiệp
Giảm chi phí lưu kho: Chi phí lưu kho phụ thuộc vào số lượng, kích thước hàng hóa mà công ty lưu trữ cùng những trang thiết bị và những khoản phí đi kèm cho việc lưu trữ hàng hóa này. Hàng hóa càng nhiều, kích thước lớn có thể gây tốn không gian và sử dụng nhiều trang thiết bị lưu kho kéo theo những khoản phí khác như điện, nước, nhân công sẽ khiến phí lưu kho của bạn tăng cao và ngược lại. Do đó, đây là khoản phí luôn biến đổi tùy vào đặc tính sản phẩm, tình hình kinh tế biến động,… Việc quản lý hàng tồn kho tốt sẽ giúp tiết kiệm được đáng kể chi phí lưu trữ và nguồn lực của doanh nghiệp.
>> Xem thêm: Tồn kho an toàn là gì? Cách tính tồn kho an toàn chuẩn nhất
Giải pháp quản lý hàng tồn kho hiệu quả cho doanh nghiệp
Với nhiều hoạt động như lưu trữ, bảo quản, chuẩn bị hàng hóa cung ứng cho khách hàng, việc quản lý hàng tồn kho do đó mà trở nên phức tạp nếu như chỉ áp dụng các giải pháp quản trị truyền thống. Thay vào đó, người quản lý cần lựa chọn công nghệ để nâng cao hiệu quả quản trị kho của tổ chức.
Hiểu được nhu cầu trên, Công ty Cổ phần Công nghệ ITG đã xây dựng và phát triển hệ thống 3S iWAREHOUSE – giải pháp dành cho những bài toán quản lý kho phức tạp.

3S iWAREHOUSE được ITG phát triển trên nền tảng công nghệ tiên tiến, sử dụng QR Code/Bar Code tích hợp cùng các thiết bị IoT cho phép tăng hiệu quả quản lý kho.
Một số ích lợi khi sử dụng hệ thống 3S iWAREHOUSE do ITG triển khai đó là:
- Cắt giảm chi phí tồn kho: 3S iWAREHOUSE cho phép theo dõi trực quan lượng sản phẩm tồn kho trên phần mềm
- Hạn chế tối đa lỗi do con người: Hệ thống tự động tạo phiếu nhập/xuất/kiểm kê kho nhanh với số lượng chính xác bằng quét mã Barcode/ QRcode trên sản phẩm/túi/hộp/pallet.
- Nắm bắt hàng tồn kho theo thời gian thực: Người quản lý có thể nắm bắt tình trạng tồn của từng kho nhanh chóng, chính xác nhờ khả năng hiển thị hàng tồn kho theo thời gian thực.
- Tiết kiệm thời gian tìm kiếm hàng hóa trên kho: Phần mềm cho phép thiết lập layout của sản phẩm trong kho giúp tiết kiệm thời gian trong việc lấy hàng hóa.
- Tăng hiệu quả sử dụng vốn: Báo cáo số lượng hàng tồn kho theo tuần, ngày, giờ hỗ trợ người quản lý trong việc định hướng nhập hàng hóa, tăng hiệu quả sử dụng vốn.
Quản lý hàng tồn kho là một công việc buộc các doanh nghiệp phải tối ưu để đạt được hiệu quả trong sản xuất. Bài viết này đã giới thiệu đến bạn các mô hình quản lý hàng tồn kho hiệu quả và quy trình áp dụng của từng mô hình. Hy vọng qua bài viết này, bạn sẽ ứng dụng các mô hình trên một cách hiệu quả nhất. Bên cạnh đó, nếu bạn đang tìm kiếm giải pháp giúp bạn quản lý hàng tồn kho chính xác thì 3S iWAREHOUSE chính là sự lựa chọn phù hợp.
Giải pháp 3S iWAREHOUSE được ITG triển khai và ứng dụng thành công cho nhiều doanh nghiệp lớn trong nước và doanh nghiệp FDI tin dùng. Để gặp chuyên gia tư vấn 20 năm kinh nghiệm trong tư vấn quản lý kho cho nhiều doanh nghiệp lớn. Vui lòng liên hệ qua hotline hỗ trợ của chúng tôi: 092.6886.855
Xem thêm thông tin tại:
- Facebook: https://www.facebook.com/itgtechnology.vn
- Youtube: https://www.youtube.com/c/ITGTechnology
Đăng ký nhận tư vấn giải pháp quản lý sản xuất
Bạn muốn chuyên gia tư vấn nhanh?
Bạn đang tìm hiểu về các giải pháp chuyển đổi số và muốn chuyên gia tư vấn
trực tiếp tức thì?
Đừng ngại ngần kết nối với chúng tôi để được hỗ trợ giải pháp nhanh chóng
Đăng ký tư vấn giải pháp chuyên sâu theo ngành










